通过创新独有的技术确保最大单分子层覆盖和全封尾
查看产品
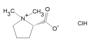
盐酸水苏碱峰对称性良好,理论塔板数达到18746
查看产品
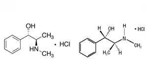
麻黄碱和伪麻黄碱峰对称性良好,理论塔板数均达到10000以上
查看产品
槟榔碱峰对称性良好,理论塔板数达到12282
查看产品
键合相是以高纯度的硅胶为基质,最大限度实现单层官能团覆盖
查看产品
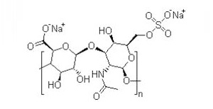
对乳糖和蔗糖的检测,分离度完全满足药典要求
查看产品
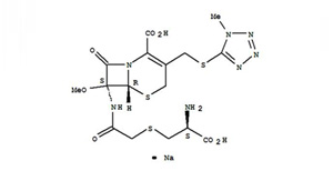
对头孢类药物的聚合物检测,分离度完全满足药典要求
查看产品
通过严格控制合成反应条件,确保柱之间可靠的重现性
查看产品